퍼즐판/중학교 수학
중학교 수학 문제 #1
이쁜왕자
2024. 7. 2. 00:16

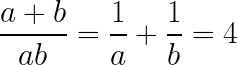
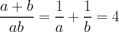
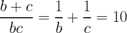
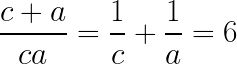
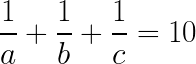
'역수'에 대한 내용의 중학교 수학 문제이다.
바로 풀어 보면 아래와 같다.



세개의 식에 대해서 역수를 취해서 정리하면 이렇게 되고, 이를 다 더한 뒤 2로 나누면, 간단히 답이 나온다.

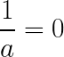
그런데, 이거 '문제 자체가 틀렸다'.


두번째 식을 정리하면 이렇게 되고, 이를 최종식에 대입하면,


즉, a 가 무한대 여야 성립하는 식이다. 그리고, 무한대는 수가 아니다.
이 연립방정식을 만족하는 a,b,c 를 실수 범위에서는 구할 수 없고, 그러므로 1/a + 1/b + 1/c 도 계산할 수 없다.
무한대도 수로 취급하는 Surreal number 나 Hyperreal number 를 동원하면 어찌 되기야 하겠지만, 중학교 수학 수준은 한참 넘어간다.
728x90
반응형