이쁜왕자 만쉐~~
10개(이하)의 10으로 2024 만들기 본문

제한 조건
1. 오직 사칙연산(+-*/) 와 괄호만 허용함.
2. 지수 사용 불가능 (예: 10^10 )
3. 붙여 쓰기 불가능 (예: 1010 )
그냥 끄적끄적 거리며 만들어 보니 11개 짜리는 비교적 쉽게 나왔다.

(10+10)*(10*10) + 10 + 10 + (10+10+10+10)/10 = 2024
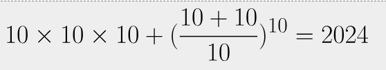
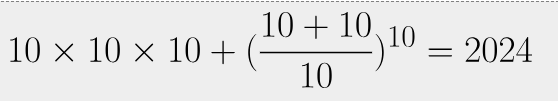
사실 지수가 허용되면, 10*10*10 = 1000, 2^10 = 1024 라는 점을 이용해서

10*10*10 + ((10+10)/10) ^ 10 = 2024
라는 7개짜리 답이 만들어 졌다. 하지만, 지수를 불허해서 탈락.
이리 저리 시도해본 결과, (10+10)*(10*10) = 2000 에서 시작해서, 6개 이하로 24를 어떻게 만드는 지를 고민하는 방향으로 가게 되었다.
20 + 4 = 24 => 10 + 10 + (10+10+10+10)/10 = 24 (7개)
12 * 2 = 24 => (10 + (10+10)/10) * (10+10)/10 = 24 (7개)
25 - 1 = 24 => (10*10*10*10)/((10+10)*(10+10)) - 10/10 = 24 (9개)
6*4 = 24 => 많이 필요
8*3 = 24 => (10 - (10+10)/10) * (10+10+10)/10 = 24 (8개)
그런데, 여러가지를 시도해 봐도 이게 7개에서 줄어 들지 않는다.
그러다가 공통인자를 뽑아내서 개수를 줄이는 시도를 하다가, 갑자기 9개짜리 답이 튀어 나왔다.

(10+10)*(10*10 + (10 + (10+10)/10)/10 ) = 2024
더 적은 개수의 10으로 해결이 가능할까?